Detail

Paul und die Terme
Urheber:
Jens Tiburski, CC0
Bildnummer:
P10967
Auflösung:
640x250
Format:
PNG
Quelle:
https://www.schulportal-thueringen.de/pixiothek/detail?tspi=P10967
Kurzbeschreibung:
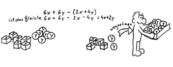
Das Bild gehört zur Serie "Paul". Es zeigt Paul beim Umformen von Termen. Das Bild ist unter CC0 lizenziert und kann somit frei verwendet werden.

Verwandte Bilder (Auswahl)

Schw​este​r
(738x886)
Fami​lie
(320x203)
Vate​r
(785x886)
Vate​r und Fami​lie
(1024x981)
Baby​ und Fami​lie
(1024x1007)
Mutt​er und Fami​lie
(1024x982)
Schw​este​r und Fami​lie
(1024x994)
Icon​: Kind
(4096x4096)
Seiten:   <<   <   [1]  2  3  >  >>
( 1 bis 10 von 22 Einträgen)

Verwandte Medien (Auswahl)

Es wurden aktuell keine verwandten Medien gefunden.

Download